technician working in a glovebox


Highlights


Recent publications

Giant enhancement of caloric effect as resulted from multi-stimuli responses

The multi-stimuli responses (such as application of hydrostatic pressure, stress and electric field together with magnetic field) on magnetocaloric effect is a subject of intense research with the expectation to realize an improve of caloric properties in magnetic materials. However, an enhancement of magnetocaloric properties associated with the presence of secondary stimuli is a rarely observed phenomenon. In our recent article, we have reported a giant enhancement of magnetocaloric effect as induced by relatively low hydrostatic pressure in Mn0.9Fe0.2Ni0.9Ge0.93Si0.07.

T. Samanta, B. Weise, L. Beyer, M. Krautz, Journal of Applied Physics 129 (2021) URL

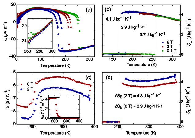
Delving deep into the entropy change of metamagnetic materials

The total isothermal entropy change of magnetocaloric materials is usually considered as the sum of the different contributions from the magnetic, lattice (or vibrational) and electronic subsystem.  By utilizing the thermodynamic definition of the Seebeck coefficient, we evaluated the entropy of conduction electrons in FeRh- and LaFeSi-alloys. We showed that the electronic entropy change in meta-magnetic transitions is not constant with the applied magnetic field, as is usually assumed.

N. Perez, C. Wolf, A. Kunzmann, J. Freudenberger, M. Krautz, B. Weise, K. Nielsch, G. Schierning, Entropy 22(2), 2020, URL

Find out more about the partial contributions in our co-authored papers from 2018:

  1. J. Landers, S. Salamon, W. Keune, M.E. Gruner, M. Krautz, J. Zhao, M.Y. Hu, T.S. Toellner, E.E. Alp, O. Gutfleisch, H. Wende, Determining the vibrational entropy change in the giant magnetocaloric material LaFe11.6Si1.4 by nuclear resonant inelastic x-ray scattering, Physical Review B 98, 2018,  URL
  2. M.E. Gruner, W. Keune, J. Landers, S. Salamon, M. Krautz, J.Y. Zhao, M.Y. Hu, T. Toellner, E.E. Alp, O. Gutfleisch, H. Wende, Moment-Volume Coupling in La(Fe1-xSix)(13), Physica Status Solidi B 255, 2018 URL

 

 

Recent paper in Acta Materialia on the fracture behaviour of La(Fe,Si)13

A combination of different testing and characterization techniques was applied to LaFe11.2Si1.8 in order to shed light on the partly contradictory data in recent literature.

Macroscale compression tests were performed to illuminate the global fracture behavior and evaluate it statistically. The local mechanical properties, such as hardness and Young's modulus, of the main and secondary phases are examined by nanoindentation and Vickers microhardness tests. An intrinsic strength of the main magnetocaloric phase of at least 2 GPa is estimated. The significantly lower values obtained by compression tests are attributed to the detrimental effect of pores, microcracks, and secondary phases. Microscopic examination of indentation-induced cracks reveals that ductile α-Fe precipitates act as crack arrestors whereas pre-existing cracks at La-rich precipitates provide numerous ‘weak links’ for the initiation of catastrophic fracture.

The presented systematic study extends the understanding of the mechanical reliability of La(Fe,Si)13 alloys by revealing the correlations between the mechanical behavior of macroscopic multi-phase samples and the local mechanical properties of the single phases.

O. Glushko, A. Funk, V. Maier-Kiener, P. Kraker, M. Krautz, J. Eckert, A. Waske, Acta Materialia, 2019, URL

Two publications in Special Issue of Energy Technology

The joint research activities within the DFG Priority Program 1599 "Ferroic Cooling" were published in the journal Energy Technology. The Special Issue will be presented at the Thermag VIII Conference held in Darmstadt. Our group contributes with two articles:

"Coupling phenomena in magnetocaloric materials" reviews relevant coupling phenomena, including atomic coupling, stress coupling and magneto-static coupling occurring in magnetocaloric materials that are key factors to achieve a large magnetic entropy change. The gained insights from combining experimental techniques on different length-scales with ab-initio calculations can serve as a basis for tailoring the functional properties to achieve high-performing magnetocaloric materials.

A. Waske, B. Dutta, N. Teichert, B. Weise, N. Shayanfar, A. Becker, A. Hütten and T. Hickel, Energy Technology (2018), URL

"Interfacial thermal resistance in magnetocaloric epoxy-bonded La-Fe-Co-Si composites" disentangles the role of the thermal conductivity and the interfacial thermal resistance for the heat flow in magnetocaloric composites. Up to now, thermal resistance has been widely neglected, but plays a significant role for the magnitude and time dependence of the adiabatic temperature change in magnetocaloric materials. This impact is demonstrated by the comparison of the characteristic time constant for heat transport obtained by two different measurement techniques and numerical simulations based on tomographic data of the samples.

K. Sellschopp, B. Weise, M. Krautz, F. Cugini, M. Solzi, L. Helmich, A. Hütten and A. Waske, Energy Technology (2018), URL

The optimal degree of chemical disorder helps to reduce hysteresis in magnetocaloric NiCoMnAl-Heusler alloys - New paper in Scientific Reports

Several attempts have been made in the last few years to deliberately modify the degree of disorder and study the corresponding effect on the transition temperatures in different Heusler systems. Usually, the atomic ordering is modified by applying different annealing parameters in order to stabilise different ordered phases in the samples. In Ni-Mn-Ga and Ni-Co-Mn-Ga alloys, for instance, the effect of annealing temperature on the martensitic transformation and magnetic properties has been studied intensively by various research groups. However, the understanding of the impact of chemical ordering on the magnetocaloric properties is rather limited. Our paper fills this knowledge-gap by assessing the entropy change and thermal hysteresis in heat treated melt-spun ribbons. In addition, first principle calculations give a qualitative picture on the underlying disordered configurations and their subsequent impact on the magnetocaloric properties of these ribbons.

B. Weise, B. Dutta, N. Teichert, A. Hütten, T. Hickel and A. Waske, Scientific Reports 8: 9741 (2018), URL

Cold-working successfully applied for the preparation of thin magnetocaloric wires

The powder-in-tube (PIT) technology, known from the production of superconducting electric wires since the early 1960s, was applied on La(Fe,Co,Si)13 powder cladded by a 100 µm thick seamless austenitic steel jacket. Wires appear to be promising in the search for alternative regenerator geometries, since they offer various possibilities of arrangements allowing to optimize heat transfer and pressure loss within the boundaries set by parallel plate and sphere beds. Here, pre-alloyed La(Fe,Co,Si)13 powder was filled in an austenitic steel tube and swaged to wires with an outer diameter of 1 mm. A post-annealing of only 10 min at 1050 °C is sufficient to form the magnetocaloric NaZn13-type phase resulting in an entropy change close to the value of a pure reference sample. The presented technology is not limited to La(Fe,Co,Si)13/steel combination but can be extended to material pairs involving wire core materials with a first order transition, such as Fe2P-type or Heusler alloys.

A. Funk, J. Freudenberger, A. Waske, M. Krautz, Materials Today Energy9, 223-228 (2018), URL

Review article in MRS Bulletin and Webinar

Links: MRS Bulletin, Webinar

Our article overviews the current status of magnetocaloric materials for room-temperature refrigeration. We discuss the underlying mechanism of the magnetocaloric effect and illustrate differences between first- and second-order type materials starting with gadolinium as a reference system. Beyond the key functional properties of magnetocaloric materials, the adiabatic temperature, and entropy change, we briefly address the criticality of the most promising materials in terms of their supply risk. Looking at practical applications, suitable geometries and processing routes for magnetocaloric heat exchangers for device implementation are introduced

There will also be a webinar on the topic on Wednesday, 18.4.2018, which is a short and entertaining overview of the field: https://mrs.digitellinc.com/mrs/live/35/page/110

Everybody interested is warmly welcome to join the webinar!

Magneto-optical imaging paper on cover page of PSS-B

Our recent paper "Hysteresis of MnFePSi Spherical Powder Ensembles Studied by Magneto-Optical Imaging" has been selected for the cover of Physica Status Solidi B's special issue "Hysteresis in Magnetocaloric, Electrocaloric and Elastocaloric Refrigeration"! In the article, we show that in-situ magneto-optical measurements are a valuable tool for studying phase transitions and associated hysteresis in magnetocaloric materials. By using local measurements on a large number of spheres, it is possible to study local interactions between spheres and to derive ensemble behavior from individual measurements.

Hysteresis of MnFePSi Spherical Powder Ensembles Studied by Magneto-Optical Imaging

Temperature-dependent magneto-optical imaging is applied to study the thermal hysteresis of magnetocaloric MnFePSi spherical powder-packed beds across their magneto-elastic transition. Cooling and heating imaging series are used to analyze the transition of such a complex powder ensemble. The magnetization versus temperature behavior reconstructed from these local measurements shows very good agreement with integral measurements of the magnetization of the whole packed bed. Hence, local magneto-optical imaging measurements represent the ensemble behavior well if the number of measurements is large enough. Furthermore, we analyzed the Curie temperature (TC) distribution of layers with different TC values and observed that the spread of TC within one layer is larger than the spacing between different layers, leading to a gradual switching behavior of the layer ensemble. Additionally, high resolution light microscopy was applied to observe the transition of individual particles, and correlate it to the local magnetic measurements.

A. Funk, M. Zeilinger, F. Dötz, I. Soldatov, R. Schäfer, A. Waske, Physica Status Solidi B, 2017 URL

Layered magnetocaloric packed beds: the devil is in the detail

Packed beds of spherical particles are a commonly used geometry to realize heat exchangers for magnetocaloric refrigeration. In order to increase the temperature span obtained for cooling, layers of materials with different magnetocaloric transition temperatures are used. However, despite their slight chemical difference, the spheres in all layers look very similar and it is nearly impossible to identify the boundary between them from a micrograph through the packed bed (see figure, top). In this work, we show that X-ray computed tomography (XCT) allows for non-destructive detection of the boundaries by analysing minute details in defect and particle size distributions for each batch. This "signature" of each layer unambiguously reveals the layer interfaces (see figure, b-d). In this way, XCT can help to understand structural details of fabricated magnetocaloric regenerators and their influence on the performance in a cooling device.

A. Funk, M. Zeilinger, A. Miehe, D. Sopu, J. Eckert, F. Dötz, A. Waske, Chemical Engineering Science 175, 84-90 (2018), URL

Symposium at Intermag 2017 in Dublin

We organize an invited speaker symposium at the Intermag in Dublin on the topic "Magnetocaloric Materials: New Concepts for Energy Application". Magnetocaloric materials already proved their huge potential in room-temperature magnetic refrigeration. While refrigeration motivated the development of magnetic materials with a first order transformation, recent developments show that these first order materials also paved the way for novel applications, which range from gas liquefaction, humidity control towards thermomagnetic energy harvesting. This symposium focuses on these emerging applications and novel cooling concepts and the material developments required for these.

APL Materials paper on in-situ tomography

First order magnetocaloric materials reach high entropy changes but at the same time exhibit hysteresis losses which depend on the sample’s microstructure. We use non-destructive 3D X-ray microtomography to understand the role of surface morphology for the magnetovolume transition of LaFe11.8Si1.2. The technique provides unique information on the spatial distribution of the volume change at the transition and its relationship with the surface morphology. Complementary Hall probe imaging confirms that on a morphologically complex surface minimization of strain energy dominates. Our findings sketch the way for a tailored surface morphology with low hysteresis without changing the underlying phase transition.

A. Waske, E. Lovell, A. Funk, K. Sellschopp et al., APL Mater. 4, 106101 (2016) URL

Anisotropic thermal conductivity in epoxy-bonded magnetocaloric composites

As thermal management is one of the crucial issues for effective magnetic cooling processes, this paper comprises a numerical study of the influence of the particle orientation on the thermal conductivity in polymer bonded magnetocaloric composites. The 3D inner structure of composite plate was studied by X-ray computed tomography and revealed a preferred orientation of the particles perpendicular to the compaction direction. This anisotropic particle arrangement influences the thermal conductivity in all three directions of the composite plate. Based on that finding different scenarios of particle arrangements are studied numerically and show that anisotropy of the thermal conductivity can be enhanced by optimizing the direction of particle orientation and their distribution.

Bruno Weise, Kai Sellschopp, Marius Bierdel, Alexander Funk, Manfred Bobeth, Maria Krautz and Anja Waske, Journal of Applied Physics 120 (2016) 125103 URL

Exploring corrosion protection of La-Fe-Si magnetocaloric alloys by passivation

Magnetocaloric La(Fe,Si)13-based alloys are promising materials for magnetic cooling systems but their limited corrosion resistance in water-based heat transfer fluids is critical. Most fundamental corrosion studies are performed under stagnant conditions. However, a magnetocaloric regenerator bed is constantly perfused by a heat exchanger fluid. Therefore, electrochemical studies were conducted in defined electrolytes under forced flow electrolyte conditions in order to assess corrosion behavior under more realistic conditions. Moreover, the applicability of a phosphate conversion coating treatment in 0.15 M NaH2PO4 (pH = 4) was evaluated and prospects of this approach are discussed.

Annett Gebert, Maria Krautz, Anja Waske, Intermetallics 75 (2016) 88-95 URL

BMWi funded Project "SOMAK" launched

„Solar-magnetic air conditioning of buildings (SOMAK)“ is an interdisciplinary project between Dresden University of Technology  and IFW Dresden that aims to increase the potential and flexibility of desiccant and evaporative air conditioning (DEC-systems) by magnetocaloric cooling.

Our group is involved in the work packages of materials development and processing.

The project duration is four years with a volume of 1.72 million Euros funded by the Federal Ministry for Economic Affairs and Energy (BMWi).

Press-release (25.05.2016, german)

A new type of La(Fe,Si)13 based magnetocaloric composites with amorphous metallic matrix

This work shows a promising way towards the production of compact refrigerant bodies by a novel combination of an amorphous matrix and brittle giant magnetocaloric material. Magnetocaloric performance in such materials is crucially affected by mechanical integrity, i.e. depending on particle size. We show that hot-compaction at the glass transition temperature of the amorphous material helps to buffer the applied stresses to the brittle magnetocaloric alloy and therefore optimal particle size for large magnetocaloric effect can be retained.

M. Krautz, A. Funk, K.P. Skokov, T. Gottschall, J. Eckert, O. Gutfleisch, A. Waske, Scripta Materialia 95 (2015) 50 URL

Asymmetric first-order transition and interlocked particle state in magnetocaloric La(Fe,Si)13

Computed tomography and in-situ synchrotron XRD measurements of the magnetocaloric material LaFe11.8Si1.2 are used to understand virgin effects and asymmetry of the underlying first order magnetovolume transition. A two-step disintegration process of the temperature-cycled sample was revealed: crack formation governs the first step, leading to an interlocked-state of the sample, where lumps of particles are still interconnected. Further cycling leads to crack propagation and the sample disintegrates into separated particles. Each step shows characteristic transition properties indicated by magentometry.

A. Waske, L. Giebeler, B. Weise, A. Funk, M. Hinterstein, M. Herklotz, K. Skokov, S. Fähler, O. Gutfleisch, J. Eckert, Phys. Status Solidi RRL, 1–5 (2015) URL